mr_tobbe Skrivet 8 december, 2006 Rapportera Share Skrivet 8 december, 2006 Nevermind, hittade provet . Btw, har hjärnsläpp, cykla 28km/tim 10 kilometer, hur många minuter tar det? Citera Länk till kommentar Dela på andra sidor More sharing options...
R2D2 Skrivet 8 december, 2006 Rapportera Share Skrivet 8 december, 2006 Nevermind, hittade provet . Btw, har hjärnsläpp, cykla 28km/tim 10 kilometer, hur många minuter tar det? (60/28)*10=21,4 minuter ungefär. Citera Länk till kommentar Dela på andra sidor More sharing options...
samuelszon Skrivet 9 december, 2006 Rapportera Share Skrivet 9 december, 2006 (60/28)*10=21,4 minuter ungefär. Apropå hastighet och tid, hur är formeln för det där? (60/antalet km/h)*antalet km=svar? Jag gör ett exempel för att se om jag har fattat det rätt: Jag är ute och springer i sju km/h och jag skall springa fem km. Hur lång tid tar det? (60/7)*5=~42,8 minuter? Var det rätt? Citera Länk till kommentar Dela på andra sidor More sharing options...
R2D2 Skrivet 9 december, 2006 Rapportera Share Skrivet 9 december, 2006 Apropå hastighet och tid, hur är formeln för det där? (60/antalet km/h)*antalet km=svar? Jag gör ett exempel för att se om jag har fattat det rätt: Jag är ute och springer i sju km/h och jag skall springa fem km. Hur lång tid tar det? (60/7)*5=~42,8 minuter? Var det rätt? Verkar stämma. Det finns säkert någon bättre formel för sådant, improviserade bara fram den där när han frågade men rätt svar ska du få. Citera Länk till kommentar Dela på andra sidor More sharing options...
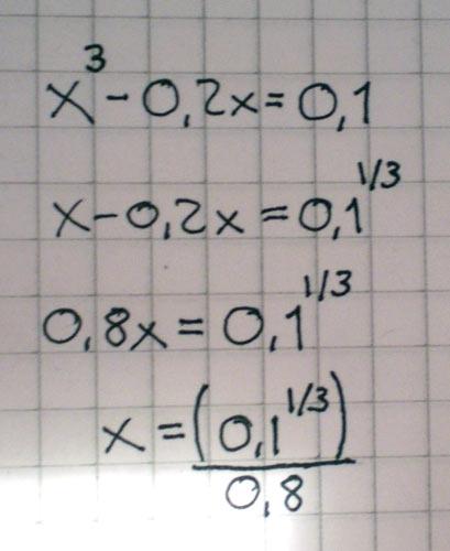
mr_tobbe Skrivet 9 december, 2006 Rapportera Share Skrivet 9 december, 2006 (x^3-0.2x)/0.1=1 x=? Försökt att förenkla, men kommer inte på hur man får bort exponenten. Citera Länk till kommentar Dela på andra sidor More sharing options...
SiXxe Skrivet 9 december, 2006 Rapportera Share Skrivet 9 december, 2006 Kopiera för helvete inte från MVGplus, den hemsidan kan varenda lärare Japp, förra veckan på vår skola så var det en som åkte fast p.g.a att han kopierat en text från MVGplus. Citera Länk till kommentar Dela på andra sidor More sharing options...
Ceone Skrivet 9 december, 2006 Rapportera Share Skrivet 9 december, 2006 (x^3-0.2x)/0.1=1 x=? Försökt att förenkla, men kommer inte på hur man får bort exponenten. Hur menar du med de i paratesen? Menar du.....? : ((X^2)-(0.2x))/0.1 = 1 Eller...? X^2-0.2x / 0.1 = 1 De är två olika skillnader. Jag kan inte se eftersom det är skrivet på dator. Citera Länk till kommentar Dela på andra sidor More sharing options...
GTA3 freak Skrivet 9 december, 2006 Rapportera Share Skrivet 9 december, 2006 (x^3-0.2x)/0.1=1 x=? Försökt att förenkla, men kommer inte på hur man får bort exponenten. Är det (x^3)-0.2x eller x^(3-0.2x)? Citera Länk till kommentar Dela på andra sidor More sharing options...
mr_tobbe Skrivet 9 december, 2006 Rapportera Share Skrivet 9 december, 2006 (redigerad) Är det (x^3)-0.2x eller x^(3-0.2x)? Redigerad 9 december, 2006 av mr_tobbe Citera Länk till kommentar Dela på andra sidor More sharing options...
AngryAxel Skrivet 9 december, 2006 Rapportera Share Skrivet 9 december, 2006 (redigerad) Rätta mig om jag har fel, men: x = 0,58 Redigerad 9 december, 2006 av AngryAxel Citera Länk till kommentar Dela på andra sidor More sharing options...
mr_tobbe Skrivet 9 december, 2006 Rapportera Share Skrivet 9 december, 2006 Den verkar inte stämma om man byter ut x:et mot 0.58 Citera Länk till kommentar Dela på andra sidor More sharing options...
AngryAxel Skrivet 9 december, 2006 Rapportera Share Skrivet 9 december, 2006 (redigerad) Falsk rot, perhaps? Redigerad 9 december, 2006 av AngryAxel Citera Länk till kommentar Dela på andra sidor More sharing options...
Ceone Skrivet 9 december, 2006 Rapportera Share Skrivet 9 december, 2006 Rätta mig om jag har fel, men: x = 0,58 Vilken mattekurs läser du? Citera Länk till kommentar Dela på andra sidor More sharing options...
R2D2 Skrivet 9 december, 2006 Rapportera Share Skrivet 9 december, 2006 Finns det något finare ord för "ordbajs"? Måste funka i en svenskaredovisning. Juryns motivering var ”talrika förklädnader framställer utanförskapets överrumplande delaktighet” vilket om man bortser från juryns *ordbajs* ganska bra beskriver hans sätt att skriva på. Citera Länk till kommentar Dela på andra sidor More sharing options...
spajdermän Skrivet 9 december, 2006 Rapportera Share Skrivet 9 december, 2006 Finns det något finare ord för "ordbajs"? Måste funka i en svenskaredovisning. Juryns motivering var ”talrika förklädnader framställer utanförskapets överrumplande delaktighet” vilket om man bortser från juryns *ordbajs* ganska bra beskriver hans sätt att skriva på. Våran lärare sade ordet "ordbajs" förut så man kanske får använda det. Citera Länk till kommentar Dela på andra sidor More sharing options...
Hew Skrivet 9 december, 2006 Rapportera Share Skrivet 9 december, 2006 Falsk rot, perhaps? Efter mycket undersökande ser jag att 0,1+0,57 inte är 0,58 utan 0,67 Citera Länk till kommentar Dela på andra sidor More sharing options...
Everest Skrivet 10 december, 2006 Rapportera Share Skrivet 10 december, 2006 Efter mycket undersökande ser jag att 0,1+0,57 inte är 0,58 utan 0,67 Ett vanligt slarvfel.. Citera Länk till kommentar Dela på andra sidor More sharing options...
AngryAxel Skrivet 10 december, 2006 Rapportera Share Skrivet 10 december, 2006 Vilken mattekurs läser du? Matematik C - Började dock med PQ-formeln i MaB Efter mycket undersökande ser jag att 0,1+0,57 inte är 0,58 utan 0,67 Äsch, vad rätt du har - Tackar! Citera Länk till kommentar Dela på andra sidor More sharing options...
Hew Skrivet 10 december, 2006 Rapportera Share Skrivet 10 december, 2006 Apropå hastighet och tid, hur är formeln för det där? (60/antalet km/h)*antalet km=svar? Jag gör ett exempel för att se om jag har fattat det rätt: Jag är ute och springer i sju km/h och jag skall springa fem km. Hur lång tid tar det? (60/7)*5=~42,8 minuter? Var det rätt? v=s/t v=hastighet s=sträcka t=tid Citera Länk till kommentar Dela på andra sidor More sharing options...
Dee Skrivet 10 december, 2006 Rapportera Share Skrivet 10 december, 2006 (redigerad) Hej Jag skulle behöva hjälp med en läxa i Samhälle. Det handlar om att vi ska sätta upp en rättegång (teater) där jag spelar åklagare. För att ni ska kunna hjälpa mig måste ni ha en bakgrund: Johnny blev arg på Stefan efter att ha frågat om cigaretter, Stefan vägrade (han hade inga cigaretter) Johnny uppträdde aggressivt. En ordväxling inleddes som slutade med att Stefan blev hotad med en stilett. Stina, flickvännen till en av Johnnys kamrater, tyckte synd om Stefan och gick för att fråga hur han mådde. De pratade en stund. Johnny kom återigen fram till Stefan och började skrika på honom. Ett bråk inleddes. Stefan hamnade snabbt på marken. Han fick måtta ett flertal slag och sparkar innan man fick iväg Johnny som ska ha skrikit ”Jag ska döda dig!”. Stefan gick sedan och satte sig i en bil för att vila. Vid ett senare tillfälle stog Johnny och Stefan ensamma utan för bilen. Ett par minuter senare kommer Johnny in andfådd och med blodiga kläder och är svår att få kontakt med. Stefans kompisar rusar ut och hittar Stefan död. Han är svår att känna igen då han har skurits svårt i ansiktet. Stefan har även huggits i bröstet och halsen är avskuren. Kniven sitter fortfarande kvar i vänster öga när offret hittas. Nu till själva frågan: Jag ska förhöra den misstänkta (Johnny Olsson) och försöka få honom att självmant säga vad som hände vid bilen och att han har hotat och varit våldsam mot Stefan. Sorry för lång text men det var viktigt att allt kom med Redigerad 10 december, 2006 av Dee Citera Länk till kommentar Dela på andra sidor More sharing options...
Recommended Posts
Join the conversation
You can post now and register later. If you have an account, sign in now to post with your account.